
Supply Chain Optimization. Part I. Edited by Lazaros G. Papageorgiou and Michael C. Georgiadis
Copyright © 2008 WILEY-VCH Verlag GmbH & Co. KGaA, Weinheim
ISBN: 978-3-527-31693-9

Fig. 3.1 Schematic representation of supply chain with financial flows and environmental effects.
Table 3.1 CO2 emissions by different sectors in US in 2004 [1].

and the waste generated after the product is consumed by the customers as shown in Fig. 3.1.
The quality of raw materials has significant effect on the environmental performance of the supply chain systems. Raw materials contain impurities that may be harmful to the environment. For example, it is possible to generate electricity or steam using different fuels such as natural gas, oils with different compositions, and coal with different compositions in an energy supply chain operating with conventional fossil fuels. Different fuels may contain different sulfur contents resulting in varying affects on the environment. The production systems usually generate waste in gaseous, liquid or solid form. Although some of this waste is treated in some cases, majority of the waste is released to the environment. The storage and material handling systems at the distribution centers generate environmentally harmful substances during their operation. For example, a food storage system needs to operate at low temperatures requiring energy and cooling agents. The retailers usually sell the products in packages that are attractive to the customers. Majority of the packaging material usually end up in nature without properly recycling or utilizing waste disposal facilities. The customer generates waste after consuming the products. The waste from the product is usually harmful to the environment. For example, when the life of electronic equipment is over, it contains significant quantities of metals and other environmentally harmful substances. The transportation system also generates environmentally harmful substances through emissions from the vehicles in the system.
Traditionally, supply chain systems have been analyzed with the objective of financial considerations such as the minimization of the cost or the maximization of the profit. However, an efficient and responsive supply chain system needs to include environmental considerations for sustainability [2]. The environmental performance of supply chain systems can be achieved by focusing on better management of resources available in the supply chain [3].
We examine the environmental issues in supply chain systems in three categories:
The product centric approaches focus on the design of the product for minimizing the use of environmentally harmful materials in the product and the recovery and reuse of the product after it has been consumed by the end user [4]. The objective in the product centric approaches is to eliminate the product becoming a waste after the product has completed its life time. These approaches include closed-loop supply chains where the product is recovered for reuse/recycle and reverse logistics that includes the planning of the logistics infrastructure of the products.
The production system centric approaches consider the selection of raw materials and the design of the production systems for minimizing the environmental impact [5]. The objective of the production system centric approaches is to design the production system so that the production system is flexible enough to eliminate or reduce the generation of waste. One of the mechanisms is the use of different raw materials. Other mechanisms include changing the configuration of the equipment or the operating conditions of the process system to reduce generation of waste.
Transportation centric approaches consider the use of different transportation systems that would reduce the environmental effects. For example, whenever possible using rail or sea transportation could reduce the emission of greenhouse gases (GHG).
The closed-loop supply chains aim to eliminate the product or some parts of the product becoming a waste after the product has completed its life time. The life of the product ends after the product loses its functions. Due to accelerating speed of innovation in certain industries, the life cycle of many of modern products are shortened. When a product completes its life cycle, it is necessary to process the product in different facilities and prevent the product becoming a complete waste. Therefore, it is necessary to extend the classical supply chain to include product recovery and processing for environmentally conscious supply chain management. A typical closed-loop supply chain system is shown in Fig. 3.2.
The closed-loop supply chains include the waste collection, product remanufacture, product disassembly, parts refurbishing and waste disposal nodes in addition to the suppliers, manufacturers, distribution centers, and retailers [6, 7]. The products are collected in the collection sites and inspected for their conditions. If a product can be reused by changing a small number of parts, the product is sent to the remanufacturing node where new parts are replaced with the old ones. These products are sent to distribution centers and sold as remanufactured products in the retail outlets. The parts that are replaced by the new ones are sent to refurbishing sites for further inspection. If a product requires changing/repairing of the major parts, then they are disassembled to different parts. The parts that cannot be repaired or reused are sent to the waste disposal facilities. The remaining parts are then inspected at the refurbishing site for repair or disposal. The parts that can be reused in the product (new or remanufactured) are stored as part inventory.
The closed-loop supply chains are instrumental in minimizing the effects of the products that complete its life cycle. In addition to environmental gains, it is also possible to generate some financial gains from closed-loop supply chains. The sales of remanufactured or refurbished products are becoming a regular practice in electronic and computer industries.

Fig. 3.2 Schematic representation of a typical closed-loop supply chain.
The aim of the environmentally conscious production is to design and operate the production system to eliminate or reduce generation of waste. This can be achieved by using different raw materials when the production system is flexible, changing the configuration of the equipment or the operating conditions of the process system to reduce generation of waste. Since energy has strong effects on modern life, the environmentally conscious production approaches can be illustrated on the energy supply chains.
Energy supply chain consists of raw materials, production facilities, and demands for end products, i.e., energy. More than one-third of all primary energy consumption goes into producing and delivering electricity and most of the world’s primary energy consumption comes from fossil fuels, such as coal, natural gas, and oil according to Energy Information Administration (EIA)’s Report [8]. Burning fossil fuels release emissions that are harmful to the environment. These emissions can be classified into two main groups: SOx and CO2 equivalent emissions. SOx equivalent emissions are the particles that are quantified strictly and limited with certain regulations. The case with CO2 equivalent emissions is different; these are gases that have effect on global warming, i.e., greenhouse gases (GHG). The Kyoto Protocol sets obligatory limits on the emission of GHGs by the industrialized countries during the period 2008–2012 [9]. The limits apply to an aggregate of emissions of six gases covered in the protocol in CO2 equivalent units.
According to Energy Information Administration (EIA)’s Report, more than 80 percent of the human-originated greenhouse gas emissions are energy related [1]. Thus, electricity production and consumption are likely to be a major focus in meeting Kyoto Targets. The electricity production systems and researchers are in search for recipe solutions for reducing emissions without sacrificing from the amount of energy production and low prices of production.
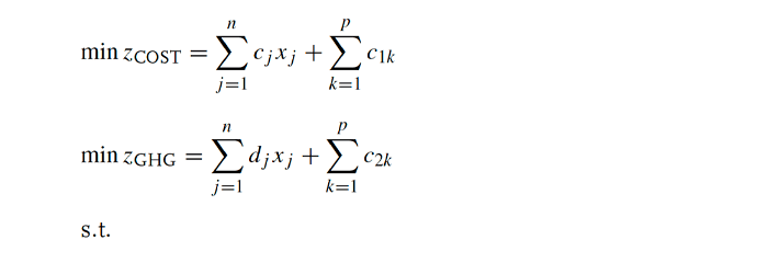
Since production and management of energy are very important, there has been extensive research on planning and decision making in the energy supply chains. Using the existing infrastructure more effectively can create benefit quickly in the quest of low emissions and low prices. The primary performance criteria in energy supply chains are the minimization of the costs and minimization of the emission of GHG to the environments that are conflicting with each other. The multiobjective optimization problem can be represented using generalized disjunctive programming framework [10, 11] as follows:


Fig. 3.3 Flowsheet of an energy production system.

environmentallyConsciousSupplyChainManagement.p30
The multiobjective optimization problem given in Eq. (3.1) includes discrete and continuous decision variables. The discrete decisions are modeled using Boolean variables, Yk and the relationships between the Boolean variables and the constraints are modeled using disjunctions. The disjunctions model the operation of the nodes in the energy production system as shown in Fig. 3.3. The detailed models for the nodes in the energy production systems using fossil fuels are given in the following sections. The models include three courses of action simultaneously to seek efficient solutions that minimize the total cost (zCOST) and minimize the emission of GHG gases (zGHG):
The models for the energy production systems are presented with the objective of assessing the synergy analysis that is conducted in the previous chapter with systems that resemble real systems. A typical energy production system consists of storage tanks to inventory raw materials, boilers that convert fuel into steam at high pressures, turbines that expand higher pressure steam to lower pressure steam and convert the mechanical energy released during this expansion into electricity and mixing equipment for mixing compatible materials originating from different sources in the system. Energy systems utilize fuel, air, and other materials to generate electricity and various grades of steam: high pressure (HP), medium pressure (MP), and low pressure (LP) steam. The modeling of energy systems has been addressed in the literature [12, 13]. The mathematical models for common equipment in energy production systems are summarized in the following sections.
The generation of HP steam is accomplished in the boilers by burning fuel, which results in the emission of harmful substances such as GHG or SOx . The boilers can be supplied with different fuels as raw material with minimal adjustments in the operating conditions. This requires the selection of economically and/or environmentally attractive fuel among the available alternatives. The alternatives may be sulfurless oil, heavy oil, etc. which differ in calorie content, harmful emissions, and cost. When environmental constraints appear, companies try to find new alternatives for producing energy with minimum emissions. Biodiesel is a nontoxic alternative fuel made from renewable fats and vegetable oils with a performance a little lower than the petroleum-based diesel. Free of sulfur and aromatics, it can be used in engines and boilers with few or no modifications. A biodiesel blend is pure biodiesel blended with petrodiesel. Blends up to 20% biodiesel are compatible with all known oil tanks and boilers. The compatibility of higher biodiesel blends depends on the properties of the materials of the tanks, pumps and fuel lines. The purchasing cost of biodiesel is a little higher than petrodiesel and holding cost is higher because of its material properties [14]. The biodiesel can be mixed with only one type of the fuel and the other fuels cannot be mixed to each other. The boiler models consist of the following equations.

The variable representing the HP steam production in a boiler (XijkHPlgent ) is disaggregated into variables (XHFijkt ) for the fuel type it has been produced. Equation (3.2) states that the HP steam production from a fuel is proportional to the calorific value of fuel, cck, and the boiler efficiency, (1/ηij ). Equation (3.3) models that the amount of HP steam produced in a boiler is equal to the sum of HP produced from different fuels in that boiler. Equation (3.4) restricts the amount of biodiesel usage to maximum 20% of the blend used in that period. If a particular type of fuel is used in a boiler in that period, YFUijkt becomes 1 in Eq. (3.5), where M is a large number. Equation (3.6) states that only one type of fuel can be used and mixed with biodiesel in a period. Equations (3.7) and (3.8) model the electricity and MP steam consumption in the boiler as a function of the HP steam generation. Equation (3.9) models the SOx generation which is a function of the composition of the fuel and the amount of fuel consumption in the boilers. Equation (3.10) determines the upper and lower bounds on the amount of HP steam generation in the boilers, if the boiler is operating.
Turbines generate electricity by expanding steam from higher pressures to lower pressures. They receive HP steam and produce electricity as well as MP and LP steams. Electricity generation in a turbine is a function of HP steam input and MP and LP steam generation as shown in Eq. (3.11). The material balance around turbines is expressed in Eq. (3.12). Equation (3.13) determines the upper and lower bounds on the amount of MP, LP and electricity generation in turbines, if the turbine is working. The parameters, eijk and gijk can be obtained from either design specifications of the turbine or the operating data of existing turbines.

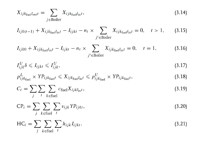
Different types of fuel are stored in fuel tanks with certain storage capacities and initial inventory, Iijk0. Equation (3.14) models the balance between a tank and the boilers that use the fuel. Material balance around a fuel tank is modeled by Eq. (3.15) such that the rate of flow out of tanks times the duration of period t plus inventory at time t is equal to incoming fuel plus fuel remaining from the previous period. Equation (3.16) is equivalent of Eq. (3.15) for the first time period. Equation (3.17) enforces the inventory at any period to be between the total storage capacity of the fuel tank and the safety stock level. Binary variable YPijkt is equal to 1 if fuel k is purchased for tank j of company i in period t . There is an upper and a lower limit for the fuel purchase amount as shown in Eq. (3.18). The cost of purchased fuel is modeled in Eq. (3.19). Equation (3.20) models the fixed cost of purchase in terms of the fixed cost of purchase νij k and the binary variable YPijkt . Finally, Eq.
(3.21) models the holding cost of fuel inventory, HCt , in terms of unit holding cost, hij k and inventory level, Iij kt .

Mixers receive and send one type of material from and to different units. There is a mixer for each type of material in the system. Equation (3.22) represents the material balances around mixers. In a steam mixer, the total amount of steam that flows into the mixer from boilers, from other mixers and from other companies is equal to the total amount of steam that flows from the mixer to the turbines, to the boilers, to other mixers, to other companies and the demand.

The boilers release GHG and SOx as waste products that results from burning fuels. A model for energy production systems should include environmental limits. Equations (3.23) and (3.24) state that the total releases of the companies should be less than sum of their limits. The SOx emission limits are not included in the Kyoto Protocol, but they are determined by local regulations. The total SOx and GHG emissions are calculated over all periods. Here, the emission is calculated by multiplying the emission rate by the length of period t , nt . Equation (3.25) models the penalty cost of SOx release. Although the companies must decrease the GHG emissions levels according to Kyoto Protocol, as long as they are below the limits, they do not pay penalty for GHG emissions.


Equation (3.26) relates the states of materials to reflect the conservation of mass. In order to maintain consistency in the material balances, Eq. (3.27) fixes some of the states of materials to zero (for example, HP steam is not consumed and not an input to boilers, so these variables are fixed to zero).

The companies can buy electricity from the utility company and sell the excess electricity to the utility company. This trade is modeled as an exchange activity between the energy producing company and the utility company. The parameter εij i′j ′ is positive for purchasing and negative for selling electricity. The electricity cost for each company is determined with Eq. (3.28).

If a boiler or a turbine of a company is operating in period t , the company spends a fixed amount of money. The operating cost is modeled for boilers and turbines with Eq. (3.29). While a process unit does not work in a period and works in the next period, the company pays a fixed cost for the startup operation. The startup cost for boilers and turbines is modeled with Eq. (3.30). Equation (3.31) models the timing of startup such that if a unit does not work in a period and works in the next period, the next period must be a startup period.

The carbon capture and sequestering (CCS) involve capturing carbon emissions from the boilers of fossil-fuel-based boilers and then injecting it underground. There are three basic design systems: postcombustion, oxygen-combustion, and precombustion [15]. Postcombustion capture has an important role in making fossil-fuel-based energy production systems environmentally friendly in the transition period, since it can capture from the exhaust released from the plant. Therefore, this technology is considered as an alternative to further reduce emissions in the model. Benson [16] states that it has an “energy penalty” that it uses up to 30% of the electricity produced. The separated carbon can be sequestrated in depleted oil and gas reservoirs, coal-bed reservoirs and salt water filled formations. Burrus [17] estimates that only depleted oil and gas reservoirs have a capacity for 40–50 years injection. CCS is a very complicated and costly investment, in addition to its energy penalty. However, as technology matures its investment costs are expected to decrease.
CCS system can be constructed by the companies as a low-carbon technology. The CCS system is not modeled as a new unit in the system; its existence is modeled by the interactions between disjunctions and Boolean variables. CCS system can capture the CO2 equivalent materials emitted by the boilers at different percentages of fuel from different types of fuels. The capture ratio from natural gas is about twice of the capture ratio from diesel. Since the type of fuel used and the existence of CCS system have to be distinguished, a new variable representing the type of fuel used in the boiler under the existence or absence of CCS system is defined, Fijkct . Moreover, since the GHG emission to the atmosphere depend on the existence of CCS, a new variable is introduced for the emitted GHG, disaggregated on index c which indicates whether a CCS system is to be installed or not, represented by Gijkct .

Equation (3.32) states that the total of disaggregated GHG variables sum to total GHG emissions and Eq. (3.33) states that the total of disaggregated fuel consumption variables sum to total fuel consumption. Equation (3.34) sets the value of GHG emissions with and without CCS system with the updated GHG emission parameters. Equations (3.35) and (3.36) regulate the GHG emissions according to whether CCS system exists for a company i, denoted by CCEit . Equation (3.37) ensures the existence of CCS at period t if it has been constructed before t, and Eq. (3.38) limits the CCS construction for a company i with 1.
The CCS in an energy production system uses some of the electricity produced in the turbines. In order to incorporate this into the model, the production from turbines was also disaggregated according to existence of CCS.
The financial objective is the minimization of the total cost that consists of cost of fuel purchased, fixed cost of purchase, holding cost of fuel, cost of installing exchange equipment, penalty for SOx release and cost of electricity purchase.

The environmental objective consists of the emission of GHG from the energy production system.

In order to understand the model behavior accurately, the model is solved for an energy producing companies whose schematic flowsheet is given in Fig. 3.3. The energy production system has three fuel tanks, two boilers, two turbines, and one mixer for each pressure level of steam. The example energy production system is optimized using the mathematical model given in Eqs. (3.2)–(3.40). Since the resulting optimization model is a mixedinteger multiobjective optimization problem, the efficient frontier that includes the collection of noninferior solutions exhibit gaps as shown in Fig. 3.4. The efficient frontier is generated with the ε-Constraint method [18].
An important consideration is the installation of the CCS system. The CCS system is able to reduce total GHG emissions while increasing the costs significantly resulting in another gap in the efficient frontier. The first gap in the efficient frontier shown in Fig. 3.4 corresponds to the discrete decision to install a CCS system. Another important decision to examine is the usage of biofuel. Although biofuel has lower calorific value compared to fossil fuels, the use of biofuel reduces the GHG emissions while increasing the cost in the illustrative example. This corresponds to the second gap in the efficient frontier shown in Fig. 3.4. The last gap in the efficient frontier corresponds to the use of different fossil fuels.
When the decision maker does not want to degrade from any of the objectives, the ideal compromising solution search method provides a guideline for the selection process. The goal of the ideal solution search method is to find the solution which is closest to the utopia point [19]. The distance should be designed to equally deal with all objective values, so they should be normalized between 0 and 1. The following normalization can be applied to all points (for all i = 1, . . . , I) on the efficient frontier.


Fig. 3.4 The efficient frontier for the problem in the illustrative example.
The distance (δp) between the utopia point and the efficient points is defined with Eq. (3.42) where p is the order of the norm:

The distance depends on the particular norm value, p. For example, for p = 2, the distance is Euclidean distance that can be formulated as in Eq. (3.43).

Using p = 2 makes the model nonlinear, because of the square and root functions of the normalized values. However, selecting the norms p = 1 and p → ∞ will give the following deviations from the utopia point:

Equation (3.44) suggests using rectilinear distances and Eq. (3.45) suggests using minimax distances. Equation (3.45) can be formulated as Eq. (3.46).

By selecting the norms p = 1 and p → ∞, the formulations do not change the mixed-integer linear structure of the model, since Eqs. (3.44) and (3.45) are linear. The optimum solutions for p = 1 and p = ∞, provide lower and upper bounds, respectively for the sum of fractional deviations from the utopia point [19]. If there is no other specific criterion for selection of an efficient point, the decision maker can use p = 1 if he/she wants the minimum of the total of displacements from the minimum values for environmental and economic objectives. And the decision maker can use p→∞ if he/she wants to minimize the maximum displacements of the objective functions from the utopia point. In order to give the decision maker the flexibility of selecting a desired solution on the efficient set, finding a sample of efficient set and making the decisions from this set is preferred to the best compromise method.
Transportation systems are essential components in realizing the transfer of materials among the nodes of supply chains. In addition to incurring costs, transportation systems have a significant share in total CO2 emissions as shown in Table 3.1. Since the transportation has strong effects on the financial and environmental performance of supply chains, the financial and environmental improvements in the transportation systems results in the performance improvements of supply chains.
The transportation activities are carried out using the following modes:
A single or a combination of different transportation modes can be used in a supply chain depending on the links among the nodes of the supply chain. If very large quantities of liquid are to be transported between a supplier and a production center, then it is possible to use pipeline transportation alone when these two nodes are linked with a pipeline. When these nodes are not directly linked to each other with a pipeline, then it is necessary to use a combination of different modes. For example, petroleum supply chains use pipeline links to transfer oil between the source and the sea ports, and then sea transportation is used to transport oil from the seaport to the production center. Another example is the automotive supply chains where a combination of sea transportation, rail transportation, and road transportation are used to deliver finished automobiles from production centers to customers. Modern supply chains continuously seek to improve the financial efficiency of their transportation systems.
The use of different transportation modes in an integrated manner is an efficient approach to improve the financial efficiency of the transportation systems. Intermodal transportation is the integration of more than one transportation mode (road, rail, sea, air, and pipeline) in a single transportation chain [20]. The unit cost of transportation in an intermodal setting offers financial advantages over singlemode transportation. Different transportation modes have different cost structures per unit distance traveled. In addition, fixed setup and changeover costs are incurred when the mode of transportation changes at terminals. Since changing transportation modes at terminals do not involve displacement of material towards destination, the setup and changeover costs are added to the total costs play a critical role in determining whether intermodal transportation is advantageous or not. Beyond a certain breakeven point, intermodal transportation becomes economically more advantageous than single-mode transportation as shown in Fig. 3.5.
In addition to financial advantages, intermodal transportation has environmental advantages. An important environmental advantage is the emission of CO2. Similar to the cost of transportation, different transportation modes have different emission levels per distance per weight of material being transported. Among the transportation modes, the CO2 emissions per unit distance per unit weight can be ranked from highest to the lowest as follows:
Changing transportation modes at terminals involves the use of material handling equipment such as cranes and forklifts, the emissions by these equipment do not contribute towards moving the displacement of material towards destination, a discrete increase in the CO2 emissions are observed. Beyond a certain breakeven point, intermodal transportation becomes environmentally more advantageous than single-mode transportation as shown in Fig. 3.6.
The success of intermodal transportation highly depends on efficient solution of two problems: the design and installation of terminal and ports that integrate different modes of transportation and the scheduling of trips. The first problem involves strategic level decisions while the second problem involves operational level

Fig. 3.5 Cost of transportation in intermodal setting.

Fig. 3.6 Emission of CO2 in intermodal transportation decision.
Macharis and Bontekoning [21] discuss the strategic level decisions in intermodal transportation including the facility location and layout and fleet sizing. Newman and Yano [22, 23] discuss the operational level decisions and compare distributed and centralized scheduling approaches in intermodal transportation. They recommend centralized scheduling although it is impractical to implement in a realistic situation.
Intermodal transportation is a very interesting approach in transportation since it involves economical and environmental advantages simultaneously. It is possible to reduce the total cost of transportation while decreasing CO2 emissions with intermodal transportation.
The success in supply chain systems not only depends on the ability to deliver the material to customers on time with minimum cost but also with minimum effect on environment. This fact forces many contemporary supply chain systems to pay closer attention to the effects that the supply chains are having on the environment. The major environmental effects of a supply chain system can be categorized into three:
Three different approaches are studied in this chapter to improve environmental performance of supply chain systems in addition to the economical performance. The product centric approaches involve avoiding the use of environmentally harmful materials in the product at the product design stage and the recovery and reuse of the product after it has been consumed by the end user. Closed-loop supply chains are examined in detail for product centric approaches. The production system centric approaches consider the selection of raw materials and the design of the production systems for minimizing the environmental impact. The energy production systems are considered to illustrate the economical and environmental effects of using different raw materials including biofuels and the addition of new equipment to the production process. Transportation centric approaches consider the use of different transportation systems that would reduce the environmental effects. Intermodal transportation is an effective approach to reduce costs as well as the emission of environmentally harmful substances.
The financial support for this work by TUBITAK Career Project 104M322 is gratefully acknowledged.